
Ciencia
¿Cómo eran las primeras proteínas de la historia?
Generan una proteina que imita a las proteinas primigenias, usando un aminoácido obsoleto

El funcionamiento de una célula depende del trabajo en equipo y la coordinación de toda una variedad de componentes y reacciones químicas. Este juego complejo entre proteínas, ácidos nucleicos y compuestos químicos es desvelado poco a poco por los biólogos, y nos aportan información sobre la vida y las enfermedades.
En este sentido, las proteínas son las que más interrogantes y descubrimientos generan. Se pueden considerar como herramientas multiusos de nuestras células, responsables de la mayoría de los procesos biológicos. Algunas proteínas se encargan de ayudar en la degradación de nutrientes para obtener energía, otras participan en la reparación y multiplicación del ADN. Incluso existen proteínas encargadas de la fabricación de otras proteínas a partir de la información genética. Es prácticamente imposible plantearse la vida sin estas pequeñas máquinas celulares.
Pero aquí surge la auténtica paradoja. Si las proteínas se generan gracias a la acción de otras proteínas. ¿Cómo se generaron las primeras proteínas de la historia? Es una versión biológica y microscópica del huevo y la gallina, de la que recientemente hemos obtenido respuestas gracias al trabajo de un laboratorio que ha podido fabricar lo que podría bien haber sido una proteína primitiva. Y lo más importante, ha sido fabricada sin necesidad de células, solo a través de química básica.
Del matraz a la célula
Las proteínas están formadas por largas cadenas de aminoácidos, moléculas con diferentes propiedades químicas capaces de unirse entre sí. Existen veinte aminoácidos diferentes, y según cómo se combinen la proteína adoptará una forma y una función diferente.
Por este motivo, hablar de proteínas primigenias implica hablar de aminoácidos primigenios. Estas moléculas tuvieron que formarse antes que las proteínas, y mucho antes que la aparición de la vida en la tierra. La hipótesis más aceptada en este sentido es la de la sopa primordial, que defiende que estos primeros aminoácidos se generaron de manera espontánea, a través de reacciones químicas entre compuestos inorgánicos simples.

Tenemos algunas pruebas en esta dirección. La más importante fue un experimento realizado en los años cincuenta por los bioquímicos Stanley Miller y Harold Urey. Para probar que era posible la generación espontánea de compuestos orgánicos, crearon un sistema de vasos y tubos que trataban de imitar en lo posible las condiciones iniciales del Planeta Tierra, mucho antes de la aparición de la vida.
Dentro del recipiente, se mezcló agua, metano, amoniaco e hidrogeno, en una proporción similar a la que debían estar en la atmosfera inicial del planeta. Luego, calentaron el recipiente e introdujeron electrodos que generaban chispazos de alta intensidad, en un intento de imitar las altas temperaturas provocadas por la actividad volcánica y las tormentas eléctricas.
Tras varios días de simulación, Miller y Urey analizaron el contenido de su artefacto, y para su sorpresa encontraron varias moléculas de glucosa y aminoácidos como los que incluyen nuestras proteínas. Estas se habían formado a partir de reacciones químicas entre los gases, activadas por la energía del calor y la electricidad. Si la Tierra primitiva tenia unas condiciones similares, no es muy complicado pensar que nuestras moléculas tienen el mismo origen, pero millones de años atrás.
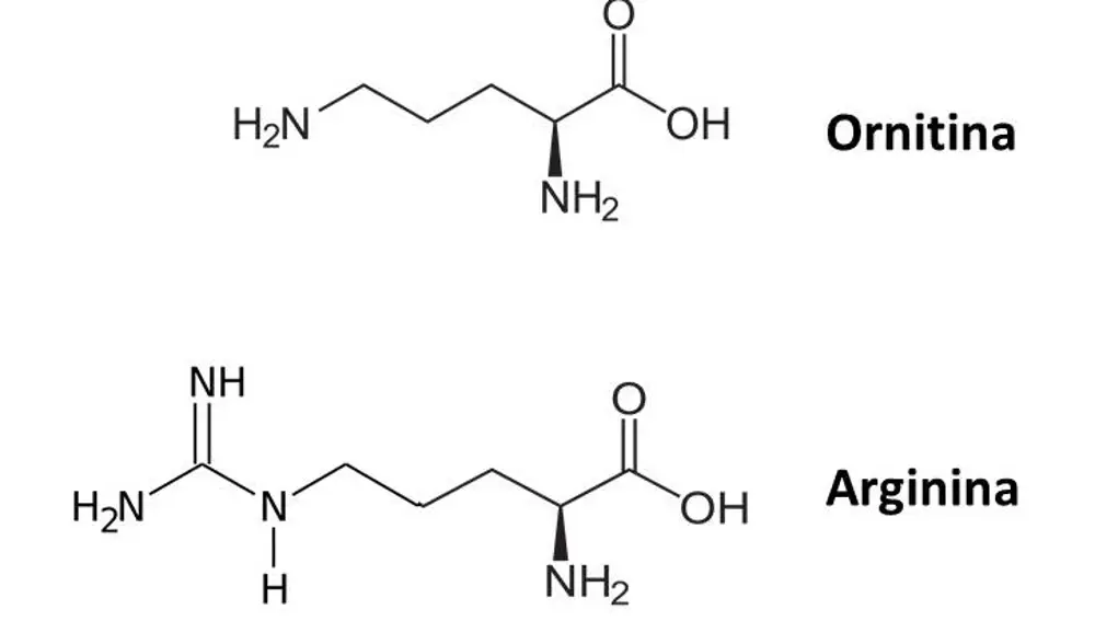
Se realizaron diferentes replicas del experimento de Miller y Urey, y en todos ellos se encontraron nuevas moléculas orgánicas. Muchas coinciden con los componentes fundamentales de nuestras células, como azucares, aminoácidos y ácidos nucleicos. Pero también aparecía un aminoácido que curiosamente, no usa ningún ser vivo para formar sus proteínas: la ornitina.
El aminoácido olvidado
Este aminoácido extraño aparece en las células de los seres vivos, pero no para formar proteínas, sino aminoácidos. Toda la ornitina de las células se transforma en arginina, otro aminoácido, a través de una reacción química convencional. De hecho, ambos aminoácidos se parecen bastante a nivel químico, y poseen una terminación que le da carga positiva, que les permite atraer a otras moléculas de carga negativa como el ADN.

El hecho de que la ornitina se forme en el experimento de Miller y Urey pero luego no esté en las proteínas plantea la posibilidad de que la ornitina sea un aminoácido obsoleto. Las primeras proteínas deben ser cadenas aleatorias de estos aminoácidos primigenios, y por lo tanto podían incluir ornitina en ellos. Más adelante en el tiempo, las proteínas con arginina serían más eficaces y acabarían sustituyendo a las de ornitina, hasta el punto de que las células transformen químicamente un aminoácido en el otro antes de usarlo.
Si esto es así, la ornitina sería una cinta VHS para un niño pequeño de este siglo. Su función de almacenar películas puede que se mantenga, pero esta olvidada ante otros dispositivos que realizan mejor esta función, como DVDs o discos duros. Habrá un punto en el que la gente olvide las películas VHS, como las células no usan la ornitina para formar sus proteínas.
Para comprobar esta hipótesis, es necesario demostrar que las proteínas con ornitina funcionan. Un equipo de científicos dirigido por Dan Tawfik y Norman Metanis ha podido generar una imitación de estas proteínas iniciales, usando ornitina como aminoácido. Para hacerlo, usaron una proteína sencilla moderna que tiene la capacidad para unirse al ADN, y transformaron a través de reacciones químicas controladas todas las argininas de la cadena en ornitinas. De este modo, obtenían una proteína imposible de sintetizar por ningún ser vivo en la actualidad, que incluye un aminoácido olvidado.
En la proteína moderna, las argininas son las que se acercan y unen al ADN, usando su carga positiva como en un imán. Las proteínas con ornitina aún eran capaces de unirse al ADN y cumplir la función de la arginina, si bien es verdad que se unían mucho peor que la proteína original.
El hecho de que la proteína primitiva funcione peor que la moderna implica muchos detalles evolutivos interesantes. Para empezar, aunque la proteína funcione peor, sigue uniéndose al ADN y es válida, por lo que seguramente la ornitina estaba presente en las primeras proteínas que se generaran por combinación aleatoria de los aminoácidos.
Por otro lado, las proteínas con arginina serían mejores que las que tienen ornitina, y acabarían siendo más frecuentes hasta ganar un puesto entre las proteínas que componen a los seres vivos. Las proteínas con ornitina, mucho más ineficientes, acabarían cayendo en el olvido, y su aminoácido con él.
Las combinaciones de aminoácidos para formar proteínas cada vez más complejas sigue siendo objeto de estudio, pero está claro que tuvo un alto componente de azar. A priori, estas combinaciones y reacciones químicas pueden ser poco frecuentes, pero no imposibles si consideramos la enorme cantidad de tiempo que ha hecho falta para generar la vida en este planeta. Que las proteínas hayan surgido a partir de combinaciones aleatorias de péptidos es el equivalente evolutivo a llamar con el móvil a números al azar hasta que alguien conocido responda, algo posible solo si tenemos mucho tiempo para intentarlo.
A partir de estas proteínas primigenias la historia se vuelve más oscura. Seguimos sin entender del todo bien como el material genético y las proteínas se aliaron para formar una célula. Ni como el material genético acabó acumulando la información que permite construir a las proteínas necesarias para asegurar la vida dentro de la célula. El experimento de Miller es solo una pequeña parte del prólogo de la formación de la vida, pero aún no hemos llegado ni al primer capítulo.
QUE NO TE LA CUELEN:
- Hay 20 aminoácidos clásicos, que aparecen en todas las proteínas de todos los seres vivos. Pero también existen dos aminoácidos adicionales, exclusivos de ciertas especies. Uno es la selenocisteina, presente en algunas bacterias, arqueas y eucariotas. El otro es la pirrolisina, exclusivo de algunas arqueas.
REFERENCIAS:
- Johnson, Adam P., et al. “The Miller Volcanic Spark Discharge Experiment.” Science, vol. 322, no. 5900, American Association for the Advancement of Science, Oct. 2008
- Longo, Liam M., et al. “Primordial Emergence of a Nucleic Acid-Binding Protein via Phase Separation and Statistical Ornithine-to-Arginine Conversion.” Proceedings of the National Academy of Sciences, National Academy of Sciences, June 2020
✕
Accede a tu cuenta para comentar

Guerra en Ucrania
Ucrania intensifica su cruzada contra los petroleros rusos sancionados

Pacto de financiación con ERC
